Subscribe to our ▶️ YouTube channel 🔴 for the latest videos, updates, and tips.
Problem 1 :

Solution:
f(x) = y
So, the line that we draw should be horizontal line. It will pass through the point 1, 2, 3 and 4 respectively.

For y = 1, the domain is [0, 1). At the left end use filled circle and at right end use unfilled circle.
For y = 2, the domain is [1, 2). At the left end use filled circle and at right end use unfilled circle.
For y = 3, the domain is [2, 3). At the left end use filled circle and at right end use unfilled circle.
For y = 4, the domain is [3, 4). At the left end use filled circle and at right end use unfilled circle.
Problem 2 :

Solution:
f(x) = y
So, the line that we draw should be horizontal line. It will pass through the point -5, -4, -3 and -2 respectively.

For y = -5, the domain is (-4, -3]. At the left end use unfilled circle and at right end use filled circle.
For y = -4, the domain is (-3, -2]. At the left end use unfilled circle and at right end use filled circle.
For y = -3, the domain is (-2, -1]. At the left end use unfilled circle and at right end use filled circle.
For y = -2, the domain is (-1, 0]. At the left end use unfilled circle and at right end use filled circle.
Problem 3 :
Graph the step function.

Solution:
f(x) = y
So, the line that we draw should be horizontal line. It will pass through the point 1 and 3 respectively.

For y = 1, the domain is [-4, -1). At the left end use filled circle and at right end use unfilled circle.
For y = 3, the domain is [-1, 2). At the left end use filled circle and at right end use unfilled circle.
Problem 4 :
A step function is defined using the piecewise formula


Solution:
f(x) = y
So, the line that we draw should be horizontal line. It will pass through the point 2, 5 and -4 respectively.

For y = 2, the domain is [0, 3). At the left end use filled circle and at right end use unfilled circle.
For y = 5, the domain is [3, 5). At the left end use filled circle and at right end use unfilled circle.
For y = -4, the domain is [5, 10]. At both ends, we should use the filled circle.
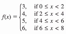
Problem 5 :
Graph the step function. Describe the domain and range.

Solution:
f(x) = y
So, the line that we draw should be horizontal line. It will pass through the point 3, 4, 5 and 6 respectively.

Domain:
For y = 3, the domain is [0, 2). At the left end use filled circle and at right end use unfilled circle.
For y = 4, the domain is [2, 4). At the left end use filled circle and at right end use unfilled circle.
For y = 5, the domain is [4, 6). At the left end use filled circle and at right end use unfilled circle.
For y = 6, the domain is [6, 8). At the left end use filled circle and at right end use unfilled circle.
Range:
Range = {3 ≤ y ≤ 7}
Problem 6 :

Solution:
f(x) = y
So, the line that we draw should be horizontal line. It will pass through the point -4, -6, -8 and -10 respectively.

Domain:
For y = -4, the domain is (1, 2]. At the left end use unfilled circle and at right end use filled circle.
For y = -6, the domain is (2, 3]. At the left end use unfilled circle and at right end use filled circle.
For y = -8, the domain is (3, 4]. At the left end use unfilled circle and at right end use filled circle.
For y = -10, the domain is (4, 5]. At the left end use unfilled circle and at right end use filled circle.
Range:
Range = {-4 ≤ y ≤ -10}
Problem 7 :

Solution:
f(x) = y
So, the line that we draw should be horizontal line. It will pass through the point 9, 6, 5 and 1 respectively.

Domain:
For y = 9, the domain is (1, 2]. At the left end use unfilled circle and at right end use filled circle.
For y = 6, the domain is (2, 4]. At the left end use unfilled circle and at right end use filled circle.
For y = 5, the domain is (4, 9]. At the left end use unfilled circle and at right end use filled circle.
For y = 1, the domain is (9, 12]. At the left end use unfilled circle and at right end use filled circle.
Range:
Range = {9 ≤ y ≤ 1}
Problem 8 :

Solution:
f(x) = y
So, the line that we draw should be horizontal line. It will pass through the point -2, -1, 0 and 1 respectively.

Domain:
For y = -2, the domain is [-6, -5). At the left end use filled circle and at right end use unfilled circle.
For y = -1, the domain is [-5, -3). At the left end use filled circle and at right end use unfilled circle.
For y = 0, the domain is [-3, -2). At the left end use filled circle and at right end use unfilled circle.
For y = 1, the domain is [-2, 0). At the left end use filled circle and at right end use unfilled circle.
Range:
Range = {-2 ≤ y ≤ 1}
Subscribe to our ▶️ YouTube channel 🔴 for the latest videos, updates, and tips.
May 21, 24 08:51 PM
May 21, 24 08:51 AM
May 20, 24 10:45 PM