Subscribe to our ▶️ YouTube channel 🔴 for the latest videos, updates, and tips.
What is a Factor Tree?
A factor tree is a way of expressing the factors of a number, especially the primary factorization of a number.
Each branch in the tree is divided into factors, and if the factor at the end of the branch is a prime number, there are only two factors, so the branch stops and we circle the number.
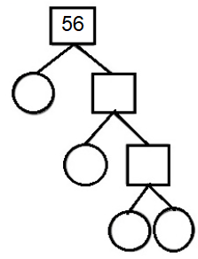
Find the missing factors of the following tree.
Problem 1 :

Solution :

Problem 2 :

Solution :

Problem 3 :

Solution :

Problem 4 :

Solution :

Problem 5 :

Solution :

Problem 6 :

Solution :

Problem 7 :

Solution :

Problem 8 :

Solution :

Problem 9 :

Solution :

Problem 10 :

Solution :

Problem 11 :

Solution :

Subscribe to our ▶️ YouTube channel 🔴 for the latest videos, updates, and tips.
May 21, 24 08:51 PM
May 21, 24 08:51 AM
May 20, 24 10:45 PM