Subscribe to our ▶️ YouTube channel 🔴 for the latest videos, updates, and tips.
Problem 10 :
Let S be the smallest positive multiple of 15, that comprises exactly 3k digits with k 0's, k 3's and k 8's. Find the remainder when S is divided by 11.
(a) 0 (b) 3 (c) 5 (d) 6 (e) 8
Solution :
Since S is the multiple of 15, it should be multiple of 3 as well 5.
Possible values to fill up in the places are 0, 3, and 8. Accordingly the condition, the unit digit can be fixed with 0.
The required number will consist of 9 digits(since it is the smallest number).
3 ==> 0's, 3 ==> 3's and 3 ==> 8's
300338880
Sum of the digits = 3 + 0 + 0 + 3 + 3 + 8 + 8 + 8 + 0
= 9 + 24 ==> 33(divisible by 3)
Divisibility rule for 11 :
Find the difference of sum of alternative digits.
3 + 0 + 3 + 8 + 0 ==> 14
0 + 3 + 8 + 8 ==> 19
14 - 19 ==> 5 (mod 11) ==> 6
So, the required remainder is 6.
Problem 12 :
If the graphs of y = x2 + 2ax + 6b and y = x2 + 2bx + 6a intersect at only one point in the xy-plane, what is the x-coordinate of the intersection ?
Solution :
To find the point of intersection, we can solve the system of equations.
y = x2 + 2ax + 6b ---(1)
y = x2 + 2bx + 6a ----(2)
(1) = (2)
x2 + 2ax + 6b = x2 + 2bx + 6a
2ax + 6b = 2bx + 6a
2ax - 2bx + 6b - 6a = 0
2x(a - b) + 6(b - a) = 0
2x(a - b) - 6(a - b) = 0
Dividing by (a - b) on both sides.
2x - 6 = 0
2x = 6
x = 6/2
x = 3
So, the required x-coordinate is 3.
Problem 17 :
Let ABCD be a square and X and Y be the points such that lengths of XY, AX and AY are 6, 8 and 10 respectively. The area of ABCD can be expressed as m/n units where m and n are positive integers without common factors. Find the value of m + n.

Solution :
AY = 10, XY = 6 and AX = 8
(AY)2 = (XY)2 + (AX)2
102 = 62 + 82
Since it satisfies Pythagorean theorem, AXY must be a right triangle.
Area of square = AB2 = BC2 = CD2 = DA2
In triangles ABX and CXY.
∠ABX = ∠XCY
∠AXB = ∠XYC
AX/XY = AB/XC
8/6 = AB/XC
4/3 = AB/XC
4/3 = AB/(BC - BX)
4/3 = AB/(AB - BX)
4(AB - BX) = 3AB
4AB - 4BX = 3AB
AB = 4BX ---(1)
Area of square = (AB)2 = (4BX)2
(AX)2 = (AB)2 + (BX)2
82 = (4BX)2 + (BX)2
64 = 16(BX)2 + (BX)2
17 (BX)2 = 64
BX = 8/√17
By applying the value of BX in (1), we get
AB = 4(8/√17)
AB = (32/√17)
(AB)2 = (32/√17)2 ==> 1024 / 17
m + n = 1024 + 17 ==> 1041
Problem 20 :
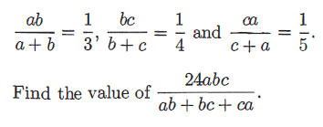
Let a, b and c be real numbers such that

Solution :
Problem 27 :
Find the least positive integer n such that
28 + 211 + 2n
is a perfect square.
Solution :
Since 28 + 211 + 2n is a perfect square.
Let the required perfect square be m2.
28 + 211 + 2n = m2
2n = m2 - 28 - 211
2n = m2 - 28 (1 + 23)
2n = m2 - 28 (9)
2n = m2 - 28 (32)
2n = m2 - (3(24))2
2n = m2 - (48)2
2n = (m + 48)(m - 48)
If 2k = m + 48 ---(1), then 2n-k = m - 48 ----(2)
(1) - (2)
2k - 2n-k = 96
Decomposing 96, we get25 x 3
2n-k(22k-n - 1) = 25 x 3
n - k = 5 and 2k - n = 2
Adding these two
k = 7
Applying the value of k, we get
n - 7 = 5
n = 12
So, the answer is 12.
Problem 34 :
What is the smallest positive integer value of n such that the following statements is always true ?
In any group of 2n - 10 persons, there are always at least 10 persons who have the same birthdays.
(For this question, you may assume that are exactly 365 different possible birthdays)
Solution :
We can say as, if n + 1 objects are put into n boxes, then at least one box contains two or more objects.
In any group of 365 x 9 + 1 persons, there must be at least persons who share the same birthdays.
So, in the group of 3286 persons at least 10 will share the same birthdays.
Here, 2n - 10 ≥ 3286
2n ≥ 3296
n ≥ 1648
So, the smallest value of n is 1648.
Applying n = 1647
2(1647) - 10 = 3284 < 365 x 9
and it is possible for each of the 365 different birthdays to be shared by at most 9 persons.
Problem 35 :
What is the smallest positive integer n, where n ≠ 11, such that the highest common factor of n - 11 and 3n + 20 is greater that 1 ?
Solution :
Subscribe to our ▶️ YouTube channel 🔴 for the latest videos, updates, and tips.
May 21, 24 08:51 PM
May 21, 24 08:51 AM
May 20, 24 10:45 PM